
Mariangela Lisanti, nata nel 1983, è stata la prima studentessa a vincere sia la Intel Science Talent Search che la Siemens Competition, e all’età di 18 anni è stata inclusa nell’elenco TR35 della Mit Technology Review dei migliori innovatori under 35 del mondo nel 2002
A che velocità sfreccia la materia oscura intorno alla Terra? Sarebbe importante saperlo, perché questo valore ha conseguenze di vasta portata per la ricerca astrofisica moderna. Ma riuscire a determinarlo non sembra essere facile, e questa proprietà fondamentale della dark matter sta eludendo i ricercatori da molti anni.
In un articolo pubblicato il 24 gennaio sulla rivista Physical Review Letters, un team internazionale di astrofisici sembra che abbia trovato un primo indizio, scoprendo che la soluzione di questo mistero si trova tra alcune delle stelle più antiche della nostra galassia. «Essenzialmente, queste vecchie stelle agiscono come tachimetri visibili per la materia oscura invisibile, permettendoci di misurare la sua distribuzione di velocità in prossimità della Terra», spiega Mariangela Lisanti, assistant professor in fisica alla Princeton University e coautrice dello studio. «Si può pensare alle stelle più vecchie come a un tracciante luminoso per la materia oscura. La materia oscura in sé non riusciremo mai a vederla perché non emette luce in alcun modo osservabile: è del tutto invisibile, motivo per il quale è stato così difficile stabilire qualcosa di concreto al suo riguardo».
«La nostra ipotesi», aggiunge il primo autore dell’articolo, Jonah Herzog-Arbeitman, «è che ci sia un sottoinsieme di stelle i cui movimenti, per qualche ragione, corrispondono ai movimenti della materia oscura».
Per capire quali stelle si comportino come le particelle di materia oscura, invisibili e non rilevabili direttamente in alcun modo, Lisanti e i suoi colleghi si sono aiutati con una simulazione chiamata Eris, che ha utilizzato super computer per simulare la fisica della nostra galassia, la Via Lattea, inclusa la presenza di materia oscura. Herzog-Arbeitman e Lina Necib del California Institute of Technology, anche quest’ultima coautrice dell’articolo, partendo dai dati della simulazione galattica hanno generato numerosi diagrammi grazie ai quali è stato possibile confrontare varie proprietà della materia oscura con le proprietà di diversi sottoinsiemi di stelle.
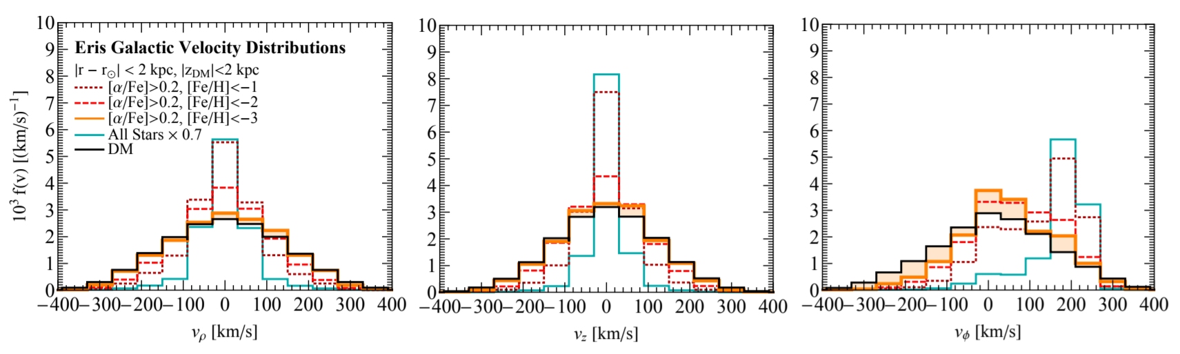
La grande svolta all’indagine è arrivata quando, paragonando la velocità della materia oscura a quella delle stelle con differenti metallicità, ossia differenti frazioni (in massa) di elementi diversi da idrogeno ed elio (in astronomia tutti gli elementi più pesanti dell’elio sono definiti metalli), gli autori hanno notato una correlazione perfetta tra la curva che rappresenta la materia oscura e quella delle stelle costituite dai metalli meno pesanti (nella figura sottostante, notare il confronto tra la linea arancione e quella nera).

Distribuzioni delle tre componenti di velocità della materia oscura (linea nera) e delle stelle, nella simulazione Eris. Le distribuzioni stellari sono mostrate separatamente per diverse metallicità: -1 (equivalente a una abbondanza di metalli dieci volte minore a quella del Sole), -2 (equivalente a una abbondanza di metalli cento volte minore a quella del Sole) e -3 (equivalente a una abbondanza di metalli mille volte minore a quella del Sole), rispettivamente con la linea marrone a puntini, rossa tratteggiata e arancione. Da Empirical Determination of Dark Matter Velocities using Metal-Poor Stars di Herzog-Arbeitman et al. 2018
È da decenni che gli astronomi sanno che la metallicità di una stella può fornire indicazioni sulla sua età. Secondo le attuali teorie cosmologiche, all’inizio l’universo era composto quasi completamente da idrogeno ed elio: per questo motivo le stelle più vecchie hanno metallicità molto basse. All’aumentare dell’età dell’universo, il contenuto di metalli aumenta poiché questi si formano nelle supernove e nelle fusioni di stelle di neutroni. Di conseguenza, è logico supporre che le stelle più giovani abbiano una metallicità più elevata. A posteriori, la correlazione tra la materia oscura e le stelle più vecchie non dovrebbe sorprendere, ha sottolineato Necib. «La materia oscura e queste vecchie stelle hanno avuto le medesime condizioni iniziali: si sono formate nello stesso posto e hanno le stesse proprietà». Pertanto, alla fine, ha senso che abbiano interagito (e interagiscano) tramite la gravità.
Da una decina d’anni, i ricercatori stanno cercando di osservare la materia oscura in maniera diretta, mettendo materiale molto denso (spesso xeno) nel sottosuolo e aspettando che la materia oscura che fluisce attraverso il pianeta interagisca con essa. Lisanti ha paragonato questi esperimenti di rilevazione diretta della materia oscura con il gioco del biliardo: «Quando una particella di materia oscura urta il nucleo in un atomo, la collisione è simile a quella che si verifica tra due bilie che si colpiscono a vicenda. Se la particella di materia oscura è molto meno massiccia del nucleo atomico che va a colpire, il nucleo non si muoverà molto in seguito alla collisione e per questo motivo sarà molto difficile notare che l’urto è avvenuto». Ecco perché limitare la velocità della materia oscura è così importante: se le particelle di materia oscura sono lente e leggere, potrebbero non avere abbastanza energia cinetica per muovere le “palle da biliardo” nucleari, anche se le colpiscono per bene. «Ma se la materia oscura si muove più velocemente, ha più energia cinetica e questo può aumentare la possibilità che nella collisione il nucleo si muova. Pertanto, in questo caso potrebbe essere possibile notare l’urto avvenuto», osserva la ricercatrice. Originariamente, gli scienziati si aspettavano di vedere abbastanza interazioni tra particelle (in altre parole, abbastanza palle da biliardo in movimento) da essere in grado di ricavare la massa e la velocità delle particelle di materia oscura. Ma in realtà non è ancora stato visto nulla.

Simulazione Eris della galassia. Crediti: University of Zurich
Invece di utilizzare queste interazioni dirette per determinare la velocità della materia oscura, ricercatori come Lisanti e i suoi colleghi stanno cercando di capovolgere la sceneggiatura e utilizzare la velocità della materia oscura che si ricava indirettamente dalle stelle vecchie per spiegare il motivo per il quale gli esperimenti di rilevamento diretto non abbiano ancora rilevato nulla. Il fallimento, almeno fino ad oggi, di questi esperimenti conduce a due domande, dice Lisanti: «Come facciamo a stabilire la velocità di queste particelle? Non abbiamo visto nulla perché nella distribuzione della velocità c’è qualcosa di diverso da quello che ci aspettavamo?». Disporre di un modo completamente indipendente per stabilire la velocità della materia oscura potrebbe aiutare a far luce su questa mancata rilevazione. Ma per ora sono solo congetture a livello teorico. Ciò che abbiamo misurato e conosciamo della fisica e dell’astronomia della nostra galassia non sembra aver catturato la ricchezza dei dati prodotti dalla simulazione di Eris, pertanto Lisanti e i suoi colleghi non sanno ancora dire quale sia la velocità delle stelle più antiche della Via Lattea.
Fortunatamente questa informazione potrà presto essere ricavata dai dati provenienti dalla missione Gaia dell’Agenzia spaziale europea, il cui obiettivo è quello di tracciare una mappa tridimensionale della nostra galassia, rivelandone la composizione e permettendo di capire la sua formazione ed evoluzione. «Per dedurre le proprietà della materia oscura», spiega a Media Inaf la stessa Lisanti, «abbiamo bisogno delle stelle più antiche della nostra galassia, che sono rare. Gaia ci fornirà le velocità di un numero di stelle nella Via Lattea senza precedenti, aumentando così il campione di vecchie stelle che possiamo usare nello studio della materia oscura. Pertanto, prevediamo di poter dedurre la velocità della materia oscura con crescente precisione. Questo è fondamentale per gli attuali esperimenti che stanno cercando la materia oscura, poiché le velocità possono influire sul tasso di rilevamento nell’esperimento stesso».
Per saperne di più:
- Leggi su Physical Review Letters l’articolo “Empirical Determination of Dark Matter Velocities using Metal-Poor Stars“, di Jonah Herzog-Arbeitman, Mariangela Lisanti, Piero Madau, Lina Necib
Guarda il servizio video di MediaInaf TV:






