
Aldo Stefano Bonomo, ricercatore all’Inaf – Osservatorio astrofisico di Torino, coinvolto in prima persona nello studio dell’esopianeta Kepler-1657b. Crediti: Aldo Stefano Bonomo (Inaf)
Recentemente è stato accettato per la pubblicazione sulla rivista Astronomy & Astrophysics un articolo sulla caratterizzazione di un esopianeta gigante di lungo periodo scoperto da Kepler, caratterizzato da un gruppo di ricercatori con le velocità radiali prese con lo spettrografo Sophie, presso l’Observatoire de Haute Provence.
Questo pianeta, chiamato Kepler-1657b, risulta essere molto interessante per vari motivi. Media Inaf ne ha parlato nel dettaglio con Aldo Stefano Bonomo, ricercatore all’Osservatorio astrofisico dell’Inaf di Torino, coinvolto in prima persona nella ricerca e secondo autore dell’articolo.
Come siete riusciti a identificare il pianeta Kepler-1657b?
«L’esopianeta Kepler-1657b era stato prima identificato solo come “oggetto di interesse” (Koi, Kepler Object of Interest) dai ricercatori della missione Kepler, poiché il telescopio spaziale Kepler ne aveva osservato i transiti, ovvero le diminuzioni di luce della sua stella quando il pianeta passa, transita davanti al disco stellare. Tuttavia, in generale non basta osservare dei transiti per stabilire che l’oggetto in transito sia realmente un pianeta. Altri fenomeni astrofisici possono dar luogo a segnali che assomigliano ai transiti di esopianeti, però di fatto non lo sono e vengono pertanto detti falsi positivi: un esempio sono le stelle binarie ad eclissi di fondo. La probabilità di falsi positivi nei candidati planetari giganti Kepler è abbastanza elevata, e cioè circa il 50 per cento. Noi abbiamo confermato che l’oggetto in transito è realmente un esopianeta grazie a misure spettroscopiche di velocità radiale effettuate per due anni con lo spettrografo Sophie al telescopio dell’Alta Provenza. Queste misure ci hanno permesso di rivelare il segnale gravitazionale del pianeta sul moto della sua stella».

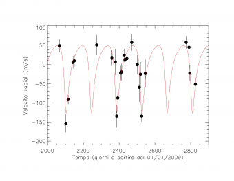
Velocità radiali della stella attorno alla quale ruota Kepler-1657b, stimate con lo spettrografo Sophie, in funzione del tempo e, in rosso, il modello kepleriano che meglio “fitta” i dati. Crediti: Aldo Stefano Bonomo (Inaf)
Quali parametri del pianeta – e della stella che lo ospita – siete stati in grado di ottenere?
«Grazie alle osservazioni fotometriche dei transiti ottenute dal telescopio Kepler abbiamo misurato il raggio, ossia la dimensione del pianeta. Con le nostre osservazioni di velocità radiale da terra abbiamo potuto determinare sia la massa e densità di Kepler-1657b che i suoi parametri orbitali, in particolare l’eccentricità dell’orbita (quanto più è alta l’eccentricità, tanto più l’orbita è ellittica; un’eccentricità nulla corrisponde invece ad un’orbita circolare). La misura di massa e densità è fondamentale per capire la composizione e la struttura interna del pianeta, mentre l’eccentricità ci può dare informazioni sulla storia evolutiva del pianeta».
Il pianeta che avete identificato è particolare. In cosa consiste la sua particolarità e perché è così importante?
«È uno dei pochissimi pianeti giganti temperati scoperti in transito di cui abbiamo misurato raggio, massa e dunque densità. Kepler-1657b ci permette di studiare la struttura e la composizione degli esopianeti giganti in un regime più temperato dei numerosi gioviani caldi noti, e quindi più simile ai giganti gassosi del nostro Sistema solare, Giove e Saturno. Da questi ultimi, tuttavia, Kepler-1657b differisce per l’elevata eccentricità di 0.5, mentre Giove e Saturno hanno orbite quasi circolari. L’elevata eccentricità orbitale è verosimilmente il frutto di violente fasi di instabilità dinamiche che hanno condotto a incontri ravvicinati fra Kepler-1657b e altri pianeti del sistema. Il primo è sopravvissuto a tali incontri, di cui porta come cicatrice l’elevata eccentricità; gli altri pianeti sono stati probabilmente espulsi dal sistema. Il sistema planetario Kepler-1657 ha dunque avuto un’evoluzione molto diversa dal Sistema Solare dove scontri così violenti fra i pianeti giganti gassosi, per nostra fortuna, non si sono verificati».

Il transito di Kepler-1657b, ben sovrapposto al modello di best fit. Crediti: Aldo Stefano Bonomo (Inaf)
Deve esserci un allineamento perfetto tra noi, la stella ed il pianeta che le sta ruotando attorno per riuscire ad identificare il pianeta come tale, usando il metodo del transito. Dati i pianeti identificati ad oggi, è possibile estrapolare il numero di pianeti esistenti che non riusciamo a vedere perché questo allineamento non si verifica?
«Tale allineamento dev’essere tanto maggiore quanto più il pianeta è lontano, ovvero ha un periodo orbitale relativamente lungo come Kepler-1657b (141 giorni). Tenendo conto della probabilità di avere un allineamento fra la nostra direzione di osservazione e l’orbita planetaria, è stato possibile stimare dal numero di pianeti transitanti le frequenze di esopianeti non visti in transito. In particolare, la frequenza di giganti temperati con periodo orbitale paragonabile a quello di Kepler-1657b è di circa il 3 per cento».
Questo genere di studi può essere fatto anche dalla Terra?
«È praticamente impossibile scoprire un pianeta gigante con periodo orbitale così lungo cercandone i transiti planetari da Terra principalmente per tre motivi: l’alternanza giorno/notte e il maltempo che producono un campionamento irregolare delle misure, la bassa probabilità di allineamento di circa un per cento e la scarsa frequenza dei giganti temperati».
Dallo spazio, Tess ci aiuterà a scoprire nuovi pianeti come questo, caratterizzati da lunghi periodi di rivoluzione attorno alla loro stella?
«Il telescopio Kepler nella sua prima fase è riuscito a rivelare i transiti di Kepler-1657b e pochissimi altri giganti temperati monitorando simultaneamente circa 150mila stelle per quattro anni nella stessa regione di cielo, vicino alla costellazione del Cigno. Tess difficilmente ne scoprirà altri per il limitato tempo di osservazione di un dato campo stellare, solitamente inferiore ai 30 giorni; osserverà probabilmente eventi singoli di transito che richiederanno però numerose osservazioni aggiuntive per confermare la natura planetaria e determinare i parametri planetari».
Quali altri strumenti ci aiuteranno nella scoperta di esopianeti?
«Per gli oggetti più promettenti, il satellite Cheops potrebbe essere di aiuto nell’osservare altri transiti. Infine, Plato certamente troverà altri giganti temperati in transito e, osservando stelle più vicine e dunque più luminose di Kepler, permetterà studi ancora più dettagliati di questi pianeti. Per alcuni di essi, soprattutto quelli con piccole eccentricità, la precisione fotometrica di Plato potrebbe essere sufficiente a cercare esolune. Come facciamo notare nell’articolo, pianeti che hanno subito violente instabilità dinamiche come Kepler-1657b potrebbero invece aver perso per sempre le loro lune».
Per saperne di più:
- Leggi su astro-ph l’articolo “SOPHIE velocimetry of Kepler transit candidates” di Hebrard, A.S. Bonomo, R.F. Diaz, A. Santerne, N.C. Santos, J.-M. Almenara, S.C.C. Barros, I. Boisse, F. Bouchy, G. Bruno, B. Courcol, M. Deleuil, O. Demangeon, T. Guillot, G. Montagnier, C. Moutou, J. Rey e P.A. Wilson






