L’interferometro Advanced LIGO ha recentemente osservato la coalescenza di due buchi neri stellari, uno di massa pari a circa 36 masse solari (Msun) e l’altro di massa pari a circa 29 Msun. La scoperta è una rivoluzione per la comunità scientifica, visto che è la prima volta che le onde gravitazionali, predette da Einstein circa 100 anni fa, vengono osservate direttamente. Ma c’è di più: a lasciare sorpresi gli astrofisici è anche la massa dei due buchi neri. Quasi nessuno si aspettava che esistessero buchi neri stellari così massicci. Fino a qualche anno fa, si pensava che buchi neri di origine stellare non potessero essere molto più massicci di 10-15 Msun, almeno nell’Universo vicino. I pochi buchi neri osservati nella Via Lattea – circa una decina – hanno una massa ben inferiore a 20 Msun. Tuttavia i buchi neri osservati da LIGO hanno una massa significativamente maggiore.
Quanto massiccio può essere un buco nero stellare?
Gli astrofisici pensano che i buchi neri stellari si formino dal collasso delle stelle massicce (quelle con massa superiuore a 25 masse solari) quando queste finiscono il combustibile nucleare. Quando le reazioni nucleari si fermano, la gravità della stella non può più essere bilanciata dalla pressione. Così il nucleo della stella collassa fino a densità ben lontane dalla nostra esperienza quotidiana.

Rielaborazione di un’immagine della nebulosa dell’Omunculo ripresa dallo Hubble Space Telescope. Nebulose come questa si formano per effetto dei venti stellari, che rimuovono ingenti quantità di massa dalla superficie stellare. Se una stella perde troppa massa per venti stellari nel corso della sua vita non può formare un buco nero stellare massiccio come quelli visti da LIGO/Virgo. Crediti: NASA, ESA, and the Hubble SM4 ERO Team
La massa del buco nero dipende almeno da due ingredienti molto difficili da studiare: i venti stellari e l’esplosione di supernova. Il vento stellare è un processo che rimuove massa dalla superficie di una stella. I fotoni che provengono dall’interno della stella si “accoppiano” con gli ioni che si trovano nell’atmosfera stellare e possono trascinarli con sé, lontano dalla stella. Questo processo genera alcune spettacolari nebulose, come la nebulosa dell’Omunculo, attorno alla stella Eta Carinae (vedi l’immagine qui a fianco). Attraverso i venti stellari, una stella può perdere addirittura più di metà della sua massa nel corso della sua esistenza. Negli ultimi anni sono stati compiuti molti progressi per la comprensione del fenomeno dei venti stellari. Adesso sappiamo che l’entità dei venti dipende dalla metallicità della stella, cioè dal suo contenuto di elementi più pesanti dell’elio: meno metallica è la stella, meno forti sono i venti. I venti stellari sono importanti per lo studio dei buchi neri, perché determinano la massa finale di una stella massiccia, prima dell’esplosione di supernova.
L’esplosione di supernova è un evento drammatico: quando la gravità non è più bilanciata dalle sorgenti di pressione, il nucleo di una stella massiccia collassa finché raggiunge la densità del nucleo di un atomo. A questo punto il materiale non può più essere compresso e genera un “rimbalzo”, un’onda d’urto che propaga verso l’esterno e porta all’espulsione degli strati esterni della stella. La materia che rimane legata gravitazionalmente al nucleo della stella dopo l’esplosione costituisce l’oggetto compatto. Chiaramente, se una stella esplode in questo modo, la massa dell’oggetto compatto risultante sarà molto più piccola della massa pre-supernova della stella, perché tutto (o quasi) l’inviluppo della stella viene espulso durante il processo. Tuttavia è possibile pensare a un caso in cui l’esplosione di supernova non può avvenire: quando la massa finale di una stella è troppo grande (circa 30-40 masse solari), l’energia rilasciata dall’onda d’urto non è sufficiente a espellere gli strati esterni della stella e quindi la supernova “fallisce”. In questo caso, l’intera stella collassa in modo silenzioso, cioè senza esplosione di supernova, e forma un oggetto compatto con una massa simile alla massa finale della stella. Solo attraverso questo meccanismo di collasso diretto si possono formare buchi neri con massa molto maggiore di 20 masse solari, simili a quelli visti da LIGO.
A questo punto capiamo anche perché i venti stellari sono importanti: la massa finale della stella può essere sufficientemente grande da permettere il collasso diretto della stella SOLO se i venti stellari sono inefficienti. Quindi solo a basse metallicità.
LIGO ci ha dato ragione: buchi neri stellari così massicci esistono davvero
Il lavoro che i miei collaboratori ed io abbiamo fatto dal 2009 in poi è stato quello di elaborare modelli teorici della distribuzione di massa dei buchi neri, a partire da diversi scenari di evoluzione stellare e di supernove. Volevamo capire per quali valori della metallicità e della massa iniziale della stella progenitrice è possibile formare buchi neri stellari massicci, cioè con una massa maggiore di circa 25 Msun.
Non è stato facile, perché l’evoluzione delle stelle massicce è estremamente complicata e perché esistono tanti modelli – a volte discordanti – per un’esplosione di supernova. Inoltre, una buona parte della comunità scientifica internazionale è sempre stata molto scettica riguardo ai nostri articoli sull’esistenza dei buchi neri stellari massicci. Adesso, grazie a LIGO, sappiamo che i buchi neri stellari massicci esistono davvero e che le nostre predizioni hanno colto nel segno: questa è una grande soddisfazione per la nostra ricerca.

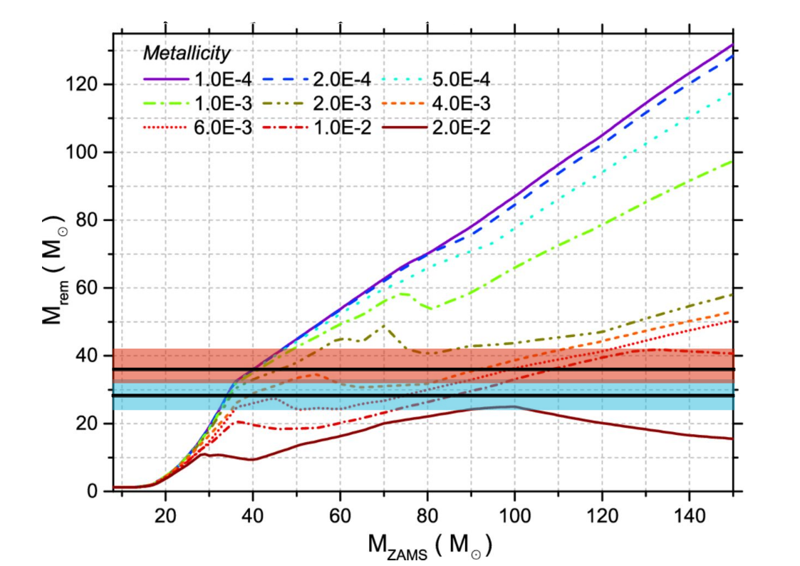
Massa del relitto stellare (stella di neutroni o buco nero) in funzione della massa iniziale (ZAMS) della stella progenitrice a diverse metallicità. La metallicità è data in termini del parametro Z, definito come la frazione della massa di una stella in elementi più massicci dell’idrogeno e dell’elio (Z per il nostro Sole vale ~0.016, vicino alla metallicità più alta presentata in figura). Le due linee nere orizzontali e le due fasce semitrasparenti (rossa e turchese) mostrano rispettivamente le masse stimate dei buchi neri visti da LIGO e l’incertezza statistica di queste misure. Fonte: la figura è una rielaborazione della Figura 6 di Spera, Mapelli & Bressan 2015, MNRAS, 451, 4086
Non è un caso se la prima figura che s’incontra nell’articolo sulle implicazioni astrofisiche della scoperta di LIGO è tratta da un nostro lavoro recente: un articolo che ha come primo autore Mario Spera, postdoc presso l’Osservatorio astronomico dell’INAF di Padova. Questa figura (una cui rielaborazione è presentata qui sopra) mostra come varia la massa dell’oggetto compatto – stella di neutroni o buco nero – in funzione della massa iniziale della stella progenitrice, a diverse metallicità. Da questa figura si vede come buchi neri simili a quelli osservati da LIGO si possono formare a metallicità basse, ma non terribilmente basse: buchi neri con massa di 25-40 Msun si possono formare per metallicità che sono circa 1/3 – 1/10 di quella solare. Metallicità di questo tipo si trovano in parecchie galassie (soprattutto galassie nane o irregolari) dell’Universo locale.
La nostra prossima sfida è andare a studiare l’effetto delle interazioni dinamiche sulla massa dei buchi neri e sulla formazione di binarie simili a quella vista da LIGO. Infatti, in ambienti ad alta densità come gli ammassi stellari giovani, le stelle e i buchi neri eseguono una specie di danza cosmica, in cui fenomeni estremi come collisioni tra stelle e formazione di nuove binarie sono molto frequenti. Pensiamo che questo possa essere un passaggio fondamentale per portare alla formazione di sistemi binari come quello osservato da LIGO.
Per saperne di più:
- Leggi l’articolo sulle implicazioni astrofisiche della prima osservazione di LIGO, “Astrophysical Implications of the Binary Black-Hole Merger GW150914“, scritto dalle due collaborazioni LIGO e Virgo
- Leggi l’articolo “The mass spectrum of compact remnants from the PARSEC stellar evolution tracks“, di Mario Spera, Michela Mapelli e Alessandro Bressan
- Visita la pagina web del gruppo di Michela Mapelli e Mario Spera a INAF Padova
L’autrice dell’articolo, Michela Mapelli, è ricercatrice all’INAF-Osservatorio Astronomico di Padova e vincitrice, nel 2015, del premio MERAC per l’Astrofisica teorica







