
Una stella (arancione) che si avvicina a un buco nero supermassiccio può essere distrutta dalla forza mareale dovuta alla forte attrazione gravitazionale del buco nero stesso. Secondo un nuovo studio, se esistono bosoni ultraleggeri (viola), possono influenzare lo spin del buco nero, che a sua volta influisce sulla velocità con cui si verificano gli eventi di distruzione mareale. Crediti: Peizhi Du
Per cercare prove dell’esistenza di alcune fra le particelle più leggere che esistano in natura, propongono di osservare il comportamento degli oggetti più “pesanti” dell’universo: i buchi neri – quelli supermassicci. In particolare, buchi neri rotanti con masse superiori ai 100 milioni di masse solari colti nell’atto di sbocconcellare stelle in orbita attorno a loro, producendo così quelli che vengono chiamati in gergo Tde, dall’inglese tidal disruption events – ovvero, eventi di distruzione mareale, osservabili da telescopi come il Vera Rubin Observatory sotto forma di luminosissime emissioni transienti dette flares.
Ma in che modo i buchi neri possono dirci se queste ipotetiche particelle – bosoni ultraleggeri, con masse comprese fra 10−20 a 10−18 eV, candidati a rivestire il ruolo di materia oscura – esistono davvero? La proposta viene dettagliata in uno studio pubblicato questo mese su Nature Communications da una collaborazione fra ricercatori di tre università del Nord America: Daniel Egana-Ugrinovic del Perimeter Institute, Giacomo Fragione della Northwestern University e, tutt’e tre della Stony Brook University, Peizhu Du, Rouven Essig e Rosalba Perna, che abbiamo intervistato.
Nata a Buccino, in provincia di Salerno, dopo la laurea in fisica all’Università di Salerno Rosalba Perna si è trasferita a Harvard, negli Stati Uniti, per il PhD. Dopo aver lavorato come postdoc a Harvard e a Princeton, è diventata professoressa di astrofisica all’Università del Colorado a Boulder e, dal 2013, professoressa di fisica e astronomia alla Stony Brook University, a Long Island, a est di Manhattan.

Rosalba Perna, professoressa di fisica e astronomia alla Stony Brook University (New York) e coautrice dello studio pubblicato su Nature Communications
«Sono molto contenta di essere qui», dice a Media Inaf, «l’area di New York è assai attiva dal punto di vista scientifico, e ci sono tante collaborazioni fra ricercatori di varie istituzioni, favorite negli ultimi anni dalla presenza del Flatiron Institute, finanziato dalla Simons Foundation».
Nel vostro studio mettete anzitutto in relazione la frequenza degli eventi di distruzione mareale (i Tde, appunto) con lo spin – vale a dire, il momento angolare – dei buchi neri. Partiamo dunque da qui: cosa c’entrano fra loro questi due fenomeni?
«Dato un buco nero, esiste un valore massimo di massa per il quale può distruggere una stella con forze mareali prima di inghiottirla – e quindi provocare un Tde. Al di sopra di quel valore, la stella viene inghiottita senza essere prima distrutta marealmente, e in questo caso non c’è un Tde. Lo spin del buco nero ha l’importante effetto di diminuire la massa massima necessaria per la distruzione mareale, e quindi permette di osservare un maggior numero di Tde».
Qui entrano in gioco gli altri protagonisti del vostro studio: i bosoni ultraleggeri. Cosa sono?
«Sono particelle ancora ipotetiche, con massa inferiore a un miliardesimo della massa di un elettrone. Particelle ultra leggere che includono gli assioni e i fotoni oscuri, per esempio, ma non le wimp, che hanno massa superiore».

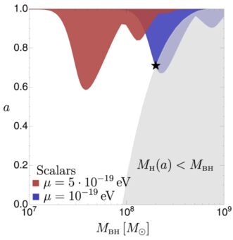
Possibili masse dei bosoni ultraleggeri (in rosso e in blu) nel grafico dello spin (a) vs. la massa dei buchi neri (Mbh). Fonte: Peizhi Du et al., Nature Communications, 2022
E in che modo conoscere lo spin dei buchi neri vi fornisce informazioni su questi bosoni ultraleggeri?
«Questi bosoni hanno l’interessante proprietà di estrarre energia e momento angolare dai buchi neri – e pertanto abbassare la loro velocità di rotazione – attraverso un fenomeno detto superradianza. Tuttavia non lo fanno in maniera indiscriminata: a seconda della massa della particella e del suo grado di accoppiamento con la forza di gravità, la particella ha una “preferenza” per ridurre lo spin di buchi neri di una certa massa, ma non di altri. Dato che lo spin di un buco nero supermassiccio influenza – come abbiamo detto – la frequenza degli eventi di distruzione mareale, il risultato finale è che la frequenza dei Tde viene ad avere una dipendenza dalla massa del buco nero, mostrando “valli” che non ci aspettiamo se queste particelle non esistono».
Ma secondo lei esiste davvero la materia oscura? Molti lo mettono in dubbio… E se sì, su quale particella candidata scommetterebbe – wimps, assioni, altro?
«L’esistenza della materia oscura è provata da osservazioni di vario tipo. Particelle leggere e poco interagenti sono al momento i candidati più promettenti. Vorrei comunque sottolineare che la nostra tecnica può anche essere usata per scoprire particelle ultraleggere che non siano parte della materia oscura, ma che esistono per altri motivi».
Per saperne di più:
- Leggi su Nature Communications l’articolo “Searching for ultra-light bosons and constraining black hole spin distributions with stellar tidal disruption events”, di Peizhi Du, Daniel Egaña-Ugrinovic, Rouven Essig, Giacomo Fragione e Rosalba Perna






