
Illustrazione artistica del disco di accrescimento attorno a un buco nero supermassiccio. Sono mostrati due hot spots (i punti luminosi nell’immagine), le bolle di plasma incandescente che secondo Yuhei Iwata et al. potrebbero produrre l’emissione quasi-periodica millimetrica rilevata da Alma. Crediti: Keio University
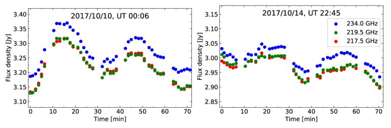
«È risaputo che Sagittarius A* a volte emetta alle lunghezze d’onda millimetriche. Utilizzando Alma, abbiamo ottenuto dati di alta qualità sulla variazione dell’intensità dell’emissione radio di Sgr A* per 10 giorni, 70 minuti al giorno, nei quali abbiamo osservato due tendenze: variazioni quasi periodiche con una scala temporale tipica di 30 minuti e variazioni più lunghe, di un’ora».
Sono le parole con le quali Yuhei Iwata, dottorando presso la Keio University, in Giappone, commenta le nuove osservazioni di Alma del buco nero supermassiccio – 4 milioni di masse solari – al centro della Via Lattea: Sagittarius A*, appunto, o in breve Sgr A*. Le sue emissioni sono state osservate non solo alla lunghezza d’onda radio-millimetrica, ma anche in luce infrarossa e in banda X. Tuttavia, le recenti misure compiute con Alma, i cui risultati sono pubblicati su The Astrophysical Journal Letters, mostrano emissioni radio-millimetriche la cui intensità varia su periodi molto più brevi di quelli rilevati in precedenza.
«Questa emissione», dice Tomoharu Oka della Keio University, coautore dello studio, «potrebbe essere correlata ad alcuni fenomeni esotici che si verificano nelle immediate vicinanze del buco nero supermassiccio». Fenomeni esotici come ad esempio i blob di plasma incandescente, bolle di materia che sotto l’influenza di campi magnetici locali emettono radiazione di sincrotrone – probabilmente quella che Alma ha rilevato alle lunghezze d’onda radio millimetriche.
Nello studio, il team si è concentrato in particolare sulla variazione più rapida dell’intensità dell’emissione di queste bolle di materia, quella che si verifica ogni 30 minuti .Scoprendo che questa periodicità è paragonabile al periodo orbitale del margine più interno del disco di accrescimento: quello che gli addetti ai lavori chiamano Isco, ovvero l’ultima orbita circolare stabile di un buco nero, oltrepassata la quale la materia viene inghiottita verso l’orizzonte degli eventi. Un’orbita il cui raggio, per effetto dell’estrema gravità del buco nero, è di 0.2 unità astronomiche (per fare un confronto, Mercurio – il pianeta più interno del Sistema solare – gira intorno al Sole a una distanza di 0.4 unità astronomiche).

La variazione dell’emissione nella lunghezza d’onda radio-millimetrica di Sagittarius A* rilevata con Alma. I diversi colori mostrano il flusso a frequenze diverse: il blu, 234,0 GHz; il verde, 219,5 GHz e il rosso, 217,5 GHz. Sono chiaramente visibili le variazioni con un periodo di circa 30 minuti. Crediti: Y. Iwata et al./Keio University
Proprio questa concordanza di tempi ha portato gli astronomi a ipotizzare che la periodicità dei brillamenti osservati da Alma possa essere dovuta all’emissione di queste bolle di plasma caldissimo – chiamate hot spots – quando nella loro orbita lungo il margine più interno del disco di accrescimento di Sgr A* si trovano lungo la nostra linea di vista.
Secondo la teoria della relatività speciale di Einstein, infatti, l’emissione di una sorgente è amplificata quando questa si muove verso l’osservatore con una velocità paragonabile a quella della luce. È proprio questa amplificazione che il team di astronomi crede di aver osservato. Sorgenti in rapida rotazione, queste bolle di plasma, che secondo i ricercatori potrebbero complicare il tentativo di creare un’immagine del buco nero supermassiccio della Via Lattea con l’Event Horizon telescope.
«In generale, più veloce è il movimento, più difficile è ottenere la foto di un oggetto», spiega Oka. «La variazione dell’emissione fornisce invece informazioni interessanti sul moto dei gas. Con una lunga campagna osservativa attraverso Alma, potremmo assistere al momento stesso dell’assorbimento del gas da parte del buco nero». I ricercatori mirano ora a ottenere informazioni indipendenti per comprendere meglio l’oscuro ambiente attorno al nostro buco nero supermassiccio.
Per saperne di più:
- Leggi su Astrophysical Journal Letters l’articolo “Time Variations in the Flux Density of Sgr A* at 230 GHz Detected with ALMA” di Yuhei Iwata, Tomoharu Oka, Masato Tsuboi, Makoto Miyoshi e Shunya Takekawa






