
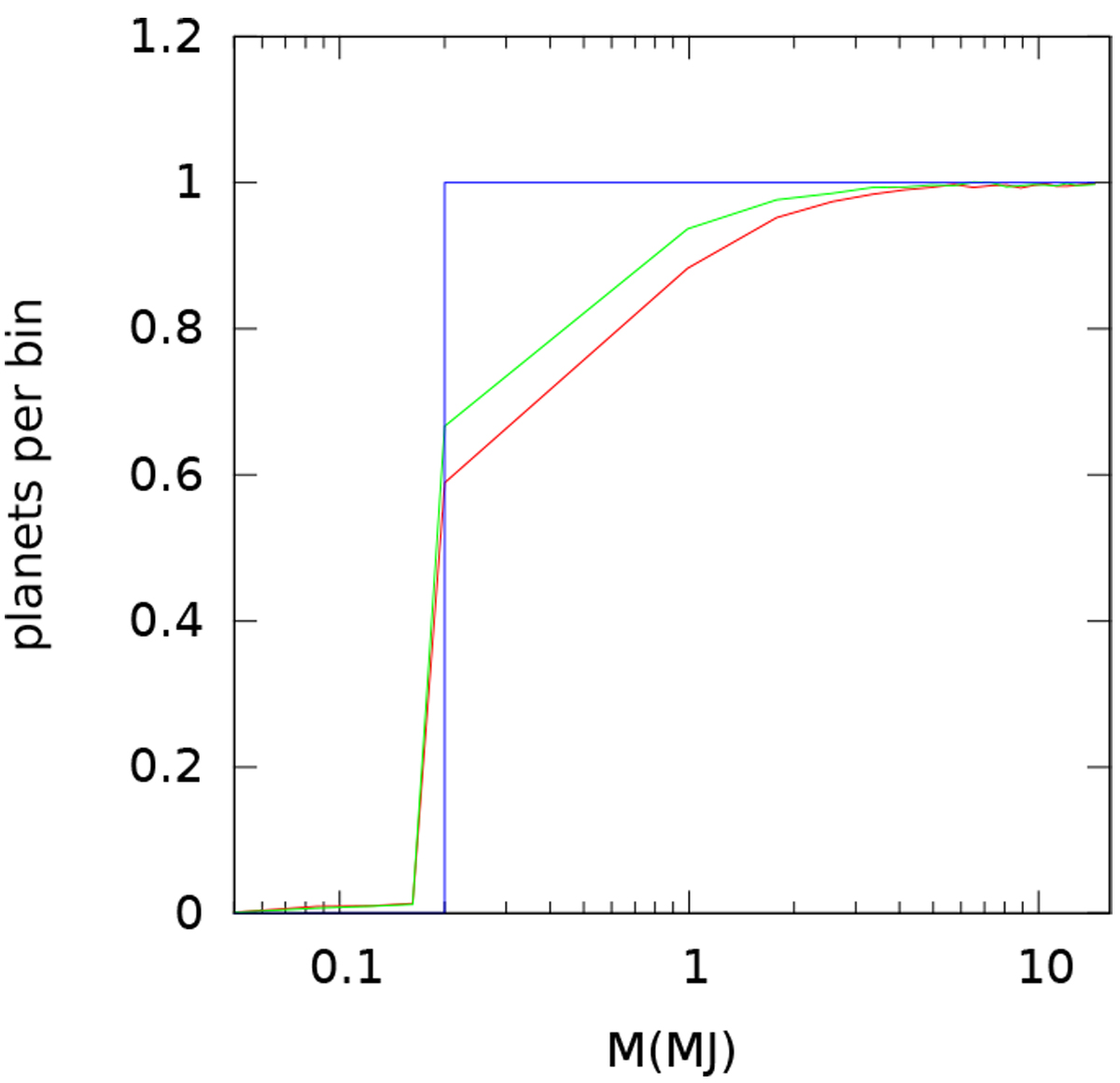
Distribuzione di massa dei pianeti iniziale (blu), e quella ad equilibrio raggiunto, separatamente per pianeti attorno stelle M (rosso) e stelle G (verde). Fonte: Locci et al., A&A, 2019
Molte stelle sono caratterizzate da un’attività magnetica che si manifesta in un’intensa emissione di raggi X e Uv. Questa emissione è variabile nel tempo, sia perché l’attività magnetica che la produce varia su tempi scala brevi, sia perché essa diminuisce durante l’evoluzione delle stelle. Ad esempio, stelle di tipo solare di pre-sequenza principale (ossia con un’età di poche decine di milioni di anni) sono migliaia di volte più brillanti ai raggi X di stelle analoghe, ma in sequenza principale (con un’età di qualche miliardo di anni). Questa radiazione può avere un impatto importante sul”ambiente circostante. I raggi X ed Uv, infatti, possono sia ionizzare che dissociare il gas vicino alla stella, riscaldandolo fino a diverse migliaia di gradi.
Tra i quasi quattromila esopianeti confermati fino a oggi, molti appartengono alla classe dei gioviani caldi, ossia giganti gassosi che orbitano a distanza molto ravvicinata dalla loro stella (con un periodo orbitale minore di 10 giorni). L’atmosfera di gioviani caldi che orbitano attorno a stelle caratterizzate da un’intensa attività magnetica può venire quindi irraggiata da una significativa emissione di raggi X e Uv. Questo è più frequente attorno a stelle giovani e più attive. Questa radiazione incidente riscalda l’atmosfera dei pianeti, che per agitazione termica comincia a evaporare (fotoevaporazione). In alcuni gioviani caldi sono infatti state osservate evidenze spettroscopiche di gas caldo in evaporazione.

Daniele Locci, primo autore dello studio, è ricercatore all’Osservatorio astronomico dell’Inaf di Palermo
Uno studio guidato da Daniele Locci dell’Inaf di Palermo, pubblicato ad aprile su Astronomy & Astrophysics, tratta il problema della foto-evaporazione dei pianeti gassosi con un approccio modellistico. In particolare, gli autori hanno realizzato modelli di pianeti gassosi giganti in fotoevaporazione a causa di flussi incidenti di radiazione X e UV, tipici di stelle di tipo spettrale G e M, seguendo l’evoluzione dei pianeti fino a che non raggiungono una configurazione di massa e raggio di equilibrio. Partendo da una distribuzione piatta di masse planetarie, queste simulazioni mostrano che l’evoluzione di una frazione significativa di pianeti è fortemente influenzata dal processo di foto-evaporazione. In particolare, il 4 per cento e il 2 per cento dei pianeti orbitanti, rispettivamente, attorno a stelle di tipo G e M viene completamente disperso nel primo miliardo di anni, e un restante 1 per cento (attorno stelle di tipo G) e 2 per cento (stelle M) perde una parte importante della sua atmosfera.
«La radiazione ad alta energia», spiega Locci a Media Inaf, «induce la fotoevaporazione dell’atmosfera dei pianeti. Studiando come viene modificata la distribuzione di massa di una popolazione sintetica di hot Jupiters intorno a stelle G e M, abbiamo calcolato la frequenza di pianeti giganti intorno a stelle giovani (10 milioni di anni). In particolare, nel range di massa 0.2-1 masse gioviane ci aspettiamo un 36 per cento e un 18 per cento in più di pianeti intorno, rispettivamente, a stelle giovani di tipo G ed M rispetto alle loro controparti più vecchie».
Per saperne di più:
- Leggi su Astronomy & Astrophysics l’articolo “Photo-evaporation of close-in gas giants orbiting around G and M stars”, Daniele Locci, Cesare Cecchi Pestellini e Giuseppina Micela






