

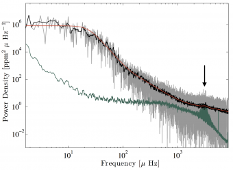
La potenza della variazione di luminosità in funzione della frequenza mostra la presenza di un chiaro aumento del segnale nella regione intorno ai 3 mHz (indicata dalla freccia), dovuta alle oscillazioni solari. Il segnale oscillatorio è molto contrastato per i dati VIRGO del Sole (in verde) ma solo appena visibile per i dati di Kepler (K2) provenienti dala luce riflessa da Nettuno (in grigio) a causa del ben più elevato livello di rumore del segnale. I risultati del fit sono mostrati dalla linea arancione, sovrapposta ad una curva in nero che mostra l’andamento del livello di rumore nei dati K2. Crediti: P. Gaulme
L’idea di osservare e studiare le oscillazioni solari riflesse nell’atmosfera di un pianeta del nostro Sistema solare non è in realtà nuova: vari tentativi sono stati fatti con telescopi da Terra circa 35 anni fa, ma senza alcun successo. Ciò è stato dovuto al fatto che le oscillazioni del Sole hanno una ampiezza piccolissima, dell’ordine del milionesimo di magnitudine, ed osservarle nella luce riflessa da un altro oggetto celeste rappresenta una sfida tutt’altro che semplice, principalmente a causa dalle variazioni irregolari di luminosità indotte dallo stesso oggetto celeste. Ma con l’entrata in funzione di Kepler le cose sono cambiate, e ovviamente in meglio: conti alla mano, l’impresa non è più apparsa così estrema, e così il satellite è stato puntato verso Nettuno per 49 giorni consecutivi tra dicembre del 2014 e febbraio del 2015, misurando ogni minuto la sua luminosità, frutto appunto della radiazione solare riflessa dalla sua atmosfera. I risultati di questa campagna osservativa sono stati raccolti e accuratamente analizzati da un team di scienziati guidati da Patrick Gaulme della New Mexico State University. L’indagine ha così permesso di ottenere la prima misura delle oscillazioni del
Sole nella luce riflessa da un corpo celeste. Fra i principali collaboratori di questo lavoro, pubblicato sulla rivista The Astrophyisical Journal Letters, c’è Enrico Corsaro, fellow del programma AstroFIt2 presso l’INAF-Osservatorio Astrofisico di Catania, che ha sviluppato specifici metodi numerici per l’analisi delle oscillazioni stellari, comprese quelle del Sole.
Queste oscillazioni sono costituite da onde acustiche che si propagano all’interno delle stelle e che ne deformano la struttura, rimanendo però visibili alla superficie stellare, e dunque causando piccolissime, ma periodiche, variazioni di luminosità. Lo studio delle frequenze delle oscillazioni contiene informazioni sensibili sulla struttura dell’interno stellare, il quale non si potrebbe altrimenti osservare poiché non visibile dall’esterno. «Un risultato evidente dai dati ottenuti nel nostro studio è che le frequenze misurate con i dati di Kepler sono un po’ più elevate di quelle che conosciamo per il Sole, ottenute con osservazioni dedicate» dice a Media INAF Gaulme. «La realtà si è però mostrata un pò più complessa di quanto anticipato. Dopo aver paragonato i dati di Kepler con quelli dell’osservatorio spaziale SoHO di ESA e NASA, acquisiti nello stesso periodo di osservazione, abbiamo accertato che le proprietà delle oscillazioni del Sole di fatto si sono rivelate leggermente fuori della media prevista in quel periodo». Differenza legata a una proprietà imprescindibile delle oscillazioni di tipo solare, cioè la loro imprevedibilità. Solo l’uso di curve di luce ottenute per tempi osservativi relativamente lunghi garantisce misure delle proprietà stellari più attendibili. «I risultati ottenuti in questo studio confermano da un lato ciò che sappiamo riguardo al Sole dall’eliosismologia, e dall’altro avvalorano l’importanza di utilizzare metodi di analisi dati sofisticati, come quello da me sviluppato e basato sulla statistica di Bayes, per estrarre dal dato osservato il maggior numero di informazioni attendibili anche in condizioni difficoltose» aggiunge Corsaro. «Con questo lavoro abbiamo dunque messo in evidenza l’importanza e l’affidabilità delle misure asterosismiche condotte fino ad oggi su numerosissime altre stelle che popolano la nostra Galassia».
Per saperne di più:
- leggi l’articolo “A Distant Mirror: Solar Oscillations Observed On Neptune By The Kepler K 2 Mission” di di P. Gaulme, J. F. Rowe, T. R. Bedding, O. Benomar, E. Corsaro, G. R. Davies, S. J. Hale, R. Howe, R. A. Garcia, D. Huber pubblicato sulla rivista The Astrophysical Journal Letters






