
Illustrazione di fantasia del Sistema K2-106, dove è rappresentata la stella con i due pianeti. Crediti: Tng / Vincenzo Guido, Emilio Molinari
Grazie anche alle osservazioni effettuate con il telescopio italiano Tng alle Canarie, un nutrito gruppo internazionale di astronomi – tra cui tre del Dipartimento di Fisica dell’Università di Torino – è riuscito a “pesare” due pianeti extrasolari, precedentemente scoperti in orbita stretta attorno alla stella K2-106. Si tratta di due super-Terre, con masse similari ma densità molto diverse.
In un articolo pubblicato recentemente su Astronomy & Astrophysics, i ricercatori spiegano come il pianeta più interno sia talmente denso da dover essere composto per la maggior parte da ferro e metalli pesanti, e per questo soprannominato heavy metal.
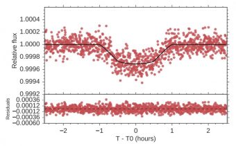
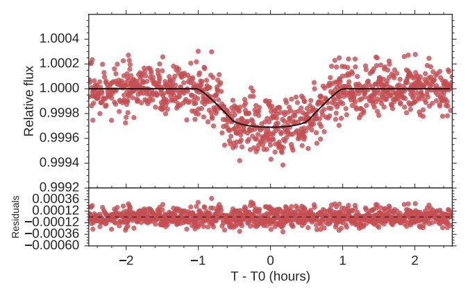
Situata a circa 825 anni luce dalla Terra, K2-106 è una stella di 5 miliardi di anni, simile al Sole ma un po’ più piccola. Nel 2016 sono stati individuati due esopianeti che transitano davanti alla stella con periodi orbitali di 0.57 (14 ore) e 13.3 giorni terrestri.
Pianeti con periodi orbitali inferiori alle 24 ore, come nel caso del pianeta più interno K2-106b, sono classificati come “di periodo ultra-breve”, una categoria di cui sono stati finora individuati pochi esemplari. Ma se il periodo orbitale di K2-106b può essere definito insolito, la sua densità risulta veramente straordinaria.

Curve di luce del pianeta K2-106b, da cui si desume il periodo orbitale. Crediti: Guenther et al., 2017
Il metodo del transito consente, oltre a rilevare l’esopianeta, di calcolarne la dimensione. Grazie a nuove osservazioni spettroscopiche effettuate con il metodo delle velocità radiali, gli autori del nuovo studio sono riusciti a calcolare la massa e quindi la densità dei due pianeti.
«Con un raggio di una volta e mezza quello terrestre K2-106b è una super-Terra relativamente piccola, ma la sua massa è 8 volte superiore a quella della Terra!», spiega Eike Guenther del Thuringia State Observatory in Tautenburg, Germania, che ha guidato il team.
La densità di K2-106b è di 13 g/cm3, più del doppio di quella terrestre, una delle più alte densità finora riscontrate in un pianeta extrasolare. Una tale densità può essere spiegabile solo se il pianeta possiede un enorme contenuto di metallo, più o meno l’80 per cento della sua massa.
«Questo pianeta heavy metal ha una composizione completamente diversa rispetto alla Terra», prosegue Guenther. «Possiamo dire che, per la prima volta, abbiamo trovato un pianeta roccioso che non è per nulla roccioso, ma è sostanzialmente una palla di metallo».
L’altro pianeta, K2-106c, passato un po’ in secondo piano per l’eccezionalità del fratello metallico, è più grande in dimensioni, con un raggio due volte e mezza quello terrestre, ma meno massiccio, meno di 7 masse terrestri. La densità risultante di 2.4 g/cm3 è meno della metà di quella terrestre.
La nuova scoperta dimostra ulteriormente come i pianeti attorno ad altre stelle possano avere delle caratteristiche sorprendentemente diverse da quelle dei pianeti rocciosi del Sistema solare.
«Per noi è piuttosto chiaro quali saranno i prossimi passi della ricerca», commenta Guenther in conclusione. «Con lo strumento Espresso sul telescopio Vlt dell’Eso avremo la possibilità di determinare le masse dei pianeti con una precisione molto maggiore rispetto al passato, il che dovrebbe dirci se i pianeti ad alta densità come K2-106b sono rari o comuni nell’universo. Nel secondo caso, l’attuale teoria sulla formazione dei pianeti dovrà necessariamente evolvere in una nuova direzione».
Per saperne di più:
- Leggi su Astronomy & Astrophysics “K2-106, a system containing a metal-rich planet and a planet of lower density”, di W. Guenther, O. Barragán, F. Dai, D. Gandolfi, T. Hirano, M. Fridlund, L. Fossati, A. Chau, R. Helled, J. Korth, J. Prieto-Arranz, D. Nespral, G. Antoniciello, H. Deeg, M. Hjorth, S. Grziwa, S. Albrecht, A. P. Hatzes, H. Rauer, Sz. Csizmadia, A. M. S. Smith, J. Cabrera, N. Narita, P. Arriagada, J. Burt, R. P. Butler, W. D. Cochran, J. D. Crane, Ph. Eigmüller, A. Erikson, J. A. Johnson, A. Kiilerich, D. Kubyshkina, E. Palle, C. M. Persson, M. Pätzold, S. Sabotta, B. Sato, St. A. Shectman, J. K. Teske, I. B. Thompson, V. Van Eylen, G. Nowak, A. Vanderburg, J. N. Winn & R. A. Wittenmyer
Correzione del 28.12.2017: la massa del pianeta K2-106c è stimata attorno alle sette masse terrestri, e non solari come erroneamente riportato nella prima versione dell’articolo.







