
Riquadro A Mappa gamma (sull’intero intervallo di energia coperto dalla missione Fermi) di una regione di 10x 10 gradi centrata sulla Grande Nube di Magellano. Il contorno bianco mostra la forma della galassia misurata dall’emissione dell’idrogeno neutro. Riquadro B zoom nella regione di 2×2 gradi centrata su 30 Doradus, ottenuta selezionando solo i fotoni con energia superiore a 2 GeV. Due sorgenti, corrispondeti ai pulsar PSR J0540−6919 and PSR J0537−6910 emergono chiaramente.
Con quasi 200 pulsar rivelati in raggi gamma dalla missione Fermi, la notizia di una nuova stella di neutroni vista pulsare alle alta energie non farebbe notizia se non si trattasse del primo esempio di pulsar gamma rivelata al di fuori della nostra galassia. Stiamo parlando di PSR 0540-69 che si trova nella grande Nube di Magellano a 50 kpc da noi.
Nella sua scansione continua del cielo gamma, Fermi ha un’ottima copertura della nube di Magellano. Integrando i primi anni di dati della missione Fermi sembrava proprio che l’emissione della grande nube di Magellano fosse diffusa, con una “macchia” in corrispondenza della regione 30 Doradus, dove le stelle nascono e muoiono ad un ritmo frenetico. La situazione è cambiata di recente con la disponibilità di più anni di dati che sono stati riprocessati con un nuovo software (noto come Pass 8) che permette una migliore ricostruzione degli eventi gamma.
Selezionando solo gli eventi di energia superiore a 2 GeV, dove la risoluzione angolare dello strumento è al suo massimo, è stato possibile vedere che la macchia di 30 Doradus contiene due belle sorgenti puntiformi le cui posizioni coincidono con PSR J0540-6919 e PSR J0537-6910.
Non sono pulsar banali . Dal punto di vista energetico, PSR J0537-6910 è il campione della famiglia delle stelle di neutroni. La sua energia rotazionale è di poco superiore a quella del pulsar del Granchio. PSR J0537-6910 ruota con un periodo di 16 msec e è immerso in un resto di supernova dall’età stimata di circa 5000 anni. A pochi minuti d’arco troviamo PSR J0540-6919, un pulsar che ruota in 50 msec ed è immerso in un resto di supernova di circa 1000 anni, che fa registrare un terzo dell’energia rotazionale del pulsar del Granchio.
Nella regione di 30 Doradus ci sono quindi due pulsar importanti, rispettivamente il primo ed il terzo più energetici della famiglia e i risultati sull’emissione gamma delle stelle di neutroni ci hanno insegnato che l’energia disponibile è un fattore molto importante: quasi tutti i pulsar visti da Fermi sono quelli con la maggiore riserva di energia disponibile.
Un esame accurato dell’immagine gamma di 30 Doradus mostra che PSR J0540 (il pulsar meno energetico) è una sorgente più brillante di PSR J0537. Inoltre, le due sorgenti sono decisamente diverse dal punto di vista spettrale. Mentre PSR J0540 ha uno spettro che ricorda quello dei pulsar, con il tipico cambiamento di pendenza alle alte energie, PSR J0537 non mostra alcun cambiamento di pendenza.
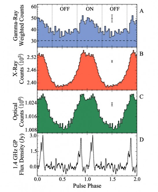
Il ripiegamento in fase dei dati di PSR J0540 è stato particolarmente difficile perché le pulsazioni si vedono bene solo nei raggi X mentre l’emissione radio è sporadica e quella ottica, pur presente, è troppo debole. Per poter fare l’analisi temporale in gamma è quindi necessario avere una copertura X della sorgente e l’unico satellite che ha assicurato il monitoraggio di PSR J0540 è stato RXTE (Rossi X-Ray Timing Explorer) che ha cessato la sua attività alla fine del 2011. L’analisi temporale dei dati gamma, seppure limitata al periodo coperto di RXTE, mostra chiaramente la periodicità a 50 msec con una curva di luce che ricorda quella X e ottica (vedi figura). E’ una curva di luce abbastanza peculiare con un largo massimo, molto probabilmente frutto della sovrapposizione di due picchi abbastanza vicini in fase che emergono bene in radio ed in ottico. Per contro, mentre nessuna periodicità viene rivelata di PSR J0537.
Ma non è finita: paragonando l’emissione gamma di PSR J0540 con quella del pulsar del Granchio ci si rende conto che PSR J0540 ha una luminosità gamma pulsata 20 volte superiore a quella del pulsar del Granchio.
E’ un dato stupefacente, considerando che PSR J0540 ha emissione radio, ottica e X abbastanza simile a quella del pulsar del Granchio tanto da essere sempre stato considerato il gemello del pulsar del Granchio. In altre parole, PSR J0540 è più efficiente del pulsar del Granchio a convertire la sua energia rotazionale in raggi gamma, mentre sembra che l’emissione X e ottica siano del tutto simili a quelle del Granchio.
La situazione si complica ulteriormente quando si consideri che il più energetico PSR J0537 non mostra nessuna modulazione gamma a un livello che è circa 30 volte inferiore all’emissione di PSR J0540. La sorgente gamma che vediamo in figura 1 potrebbe essere dovuta alla nebula di particelle accelerate dal pulsar, cosa che spiegherebbe perché lo spettro della sorgente non ha la forma tipica dei pulsar.
I due pulsar giovani ed energetici della nube di Magellano si fanno notare per il loro comportamento decisamente diverso e la rivelazione di pulsazione da parte di PSR J0540 risulta tanto importante quando la non rivelazione del più energetico PSR J0537, a riprova che la riserva di energia rotazionale non è l’unico parametro in gioco.







