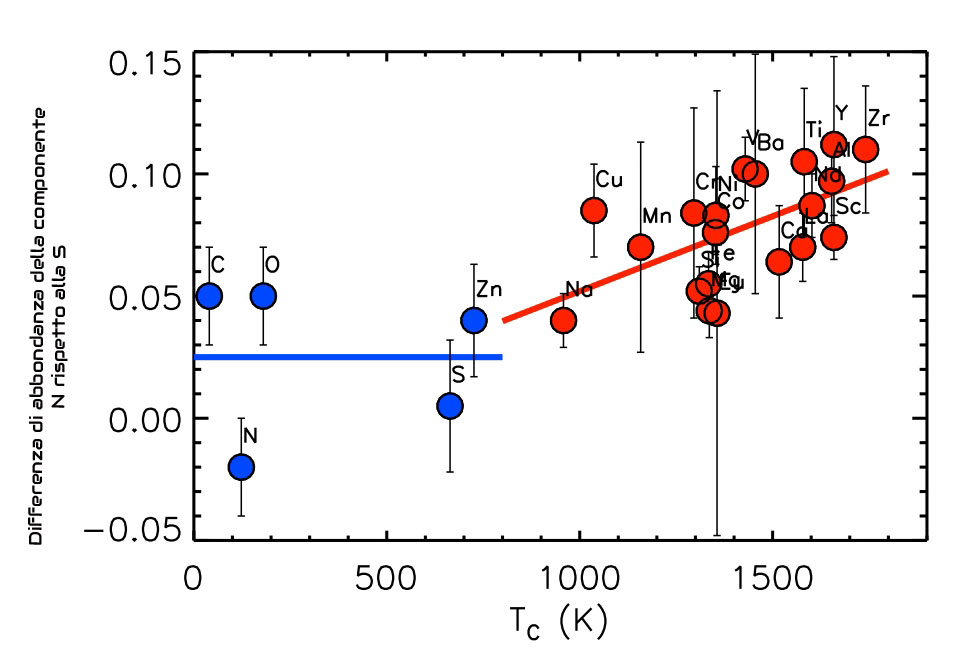
In questo grafico i pallini blu rappresentano gli elementi chimici più volatili mentre i pallini rossi rappresentano gli elementi più pesanti.
Questo sito o gli strumenti terzi da questo utilizzati si avvalgono di cookie tecnici necessari al funzionamento e di cookie utili alle finalità illustrate nella cookie policy. Chiudendo questo banner, scorrendo questa pagina, cliccando su un link o proseguendo la navigazione in altra maniera, acconsenti all’uso dei cookie. Rifiutando l’uso di cookie di terze parti alcune funzionalità del sito (es. le mappe interattive o i widget social) non saranno disponibili.