
Grazie a quaranta misure precise di velocità radiale ottenute con lo spettrografo Harps-N al Telescopio Nazionale Galileo, e alla fotometria del satellite Kepler, gli astronomi della collaborazione GTO (Tempo Garantito di Osservazione) hanno caratterizzato un sistema planetario anomalo: Kepler-101. Si è trovato che questo sistema planetario è composto da un super-Nettuno caldo, Kepler-101b, e da un pianeta più esterno di dimensioni terrestri e massa inferiore a quattro volte la Terra, Kepler-101c. I due pianeti orbitano intorno alla loro stella madre – una stella di tipo spettrale G un po’ evoluta e ricca di metalli – ad una distanza rispettivamente di 0.05 e 0.07 UA (1 Unità Astronomica vale 150 milioni di chilometri – ndr).
Kepler-101b e Kepler-101c erano già stati scoperti dal telescopio spaziale Kepler grazie al metodo dei transiti, ovvero osservando le diminuzioni della luce della stella dovute alla parziale occultazione del disco stellare durante il passaggio dei pianeti davanti al disco stesso (o transito). L’osservazione dei transiti aveva permesso al team della missione Kepler di determinare le dimensioni e i periodi orbitali dei due pianeti ma non la loro massa, che rappresenta un’informazione cruciale per comprendere la loro struttura interna e le loro caratteristiche.

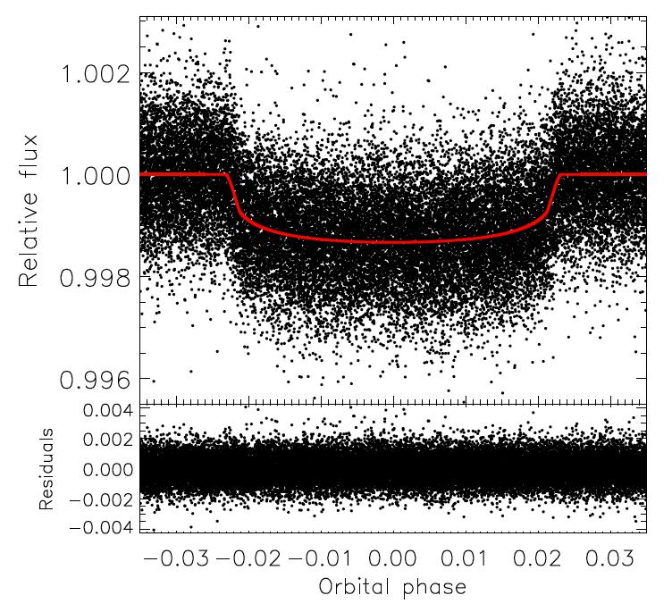
Osservazioni di fotometria dallo spazio Kepler che mostrano i transiti del super-Nettuno Kepler-101b (a sinistra) e del pianeta di dimensioni terrestri Kepler-101c (a destra). Le linee rosse indicano il best-fit del modello del transito

Misure di velocità radiale HARPS-N della stella Kepler-101 che rappresentano la variazione di velocità della stella lungo la linea di vista dovute alla perturbazione gravitazionale del pianeta più massivo Kepler-101b. La linea nera indica il modello dell’orbita Kepleriana di Kepler-101b ottenuta dall’analisi dei dati HARPS-N
Con l’analisi dei dati spettroscopici HARPS-N, si è riusciti a derivare la massa di Kepler-101b e fornire limiti a quella di Kepler-101c. Questa migliore caratterizzazione del sistema planetario ha così permesso di identificare e studiare per la prima volta in modo dettagliato un pianeta di tipo super-Nettuno. Infatti, Kepler-101b fa parte della classe scarsamente popolata di pianeti con raggio e massa intermedi fra Saturno e Nettuno del nostro sistema solare. Inoltre esso ha una struttura interna formata da elementi pesanti per oltre il 60% della massa totale.
Questa nuova ricerca, in fase di pubblicazione su Astronomy&Astrphysics, mette in evidenza la prima osservazione di una architettura planetaria con un pianeta interno gigante e uno esterno di taglia terrestre. «Questo è davvero uno dei principali risultati del nostro lavoro: Kepler-101 non segue la regola (riscontrata nella maggior parte dei sistemi planetari doppi di Kepler) che il pianeta più grande ha anche il più lungo periodo orbitale, come succede anche nel nostro sistema solare» ci spiega Aldo Bonomo, post-doc all’INAF – Osservatorio Astronomico di Torino, il primo autore di questo articolo, frutto della collaborazione del consorzio Harps-N (Italia, Svizzera, Stati Uniti e Regno Unito).
In particolare, dato che questi pianeti sono osservati transitare davanti alla loro stella, gli astronomi ritengono che l’evoluzione e la migrazione dei due pianeti verso la stella sia avvenuta attraverso una interazione fra pianeta e disco protoplanetario piuttosto che un’interazione dinamica. Inoltre è probabile che il super-Nettuno sia si formato più lontano dalla stella rispetto al pianeta di taglia terrestre ma lo abbia poi ‘sorpassato’ durante la migrazione senza drastiche conseguenze per il pianeta più piccolo.
Come enfatizzato da Emilio Molinari, direttore del TNG, «tali conclusioni sono state possibili solo grazie alle precise misure di velocità radiale del nostro spettrografo Harps-N».
Paolo Vettolani, direttore scientifico dell’INAF, con soddisfazione per i risultati ottenuti, commenta che «questi pianeti continuano a sorprendere gli astronomi che li stanno studiando. Stiamo scoprendo solo ora la geografia dei sistemi planetari, per tentare di capire la loro storia!».
Leggi l’articolo: http://arxiv.org/pdf/1409.4592v1.pdf







